Anti-Jammer-Thread
- Krishty
- Establishment
- Beiträge: 8405
- Registriert: 26.02.2009, 11:18
- Benutzertext: state is the enemy
- Kontaktdaten:
Re: Anti-Jammer-Thread
auto x = Math::fixedPoint<12>(172 * 2048);
auto y = Math::fixedPoint<12>(2048);
auto z = x / y;
evaluiert unter Visual C++ 2010 x86 trotz 64-Bit-Shift und -Division zu
push 0AC000h
Bald mache ich alles nur noch mit POD
(K'toren werden nämlich nicht so optimiert)
auto y = Math::fixedPoint<12>(2048);
auto z = x / y;
evaluiert unter Visual C++ 2010 x86 trotz 64-Bit-Shift und -Division zu
push 0AC000h
Bald mache ich alles nur noch mit POD
(K'toren werden nämlich nicht so optimiert)
-
Alexander Kornrumpf
- Moderator
- Beiträge: 2191
- Registriert: 25.02.2009, 13:37
Re: Anti-Jammer-Thread
Man kann gtk themes über ssh an xming forwarden. Sweet. Nur das Windows7 Chrome rund um das Fenster schaut jetzt irgendwie deplatziert aus.
- CodingCat
- Establishment
- Beiträge: 1857
- Registriert: 02.03.2009, 21:25
- Wohnort: Student @ KIT
- Kontaktdaten:
Re: Anti-Jammer-Thread
Ich habs, ich habs! Ich sage mal, so oder so ähnlich hätte es sich zutragen können:

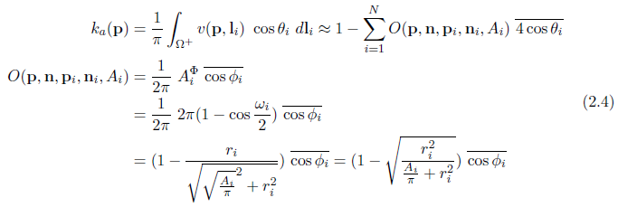
Zu GPU Gems 2: Ambient Occlusion. Die Formel versucht, die AO-Berechnung des Shader-Codes nachzuvollziehen, die im Text abgedruckte ist offensichtlich vollkommen daneben.Näherung ist schon viel zu viel gesagt, was am Ende übrig bleibt, sind gerade mal grobe Abhängigkeiten.
A(Phi) * cos phi entspricht der auf die Einheitskugel projizierten Verdeckerscheibe. Der Term 2n (1 - cos omega/2) wandelt den ebenen Winkel omega in den zugehörigen Raumwinkel um. Tatsächlich ist die korrigierte Formel überraschend exakt, nach der Berechnung des Raumwinkels bleiben keine trigonometrischen Terme übrig.
Anmerkung: Ich habe die Winkelbezeichnungen in meiner Ausarbeitung leicht verändert, Phi entspricht Theta_E und Theta entspricht Theta_R.
Nachtrag: Und noch eine kleine Illustration:

Zu GPU Gems 2: Ambient Occlusion. Die Formel versucht, die AO-Berechnung des Shader-Codes nachzuvollziehen, die im Text abgedruckte ist offensichtlich vollkommen daneben.
A(Phi) * cos phi entspricht der auf die Einheitskugel projizierten Verdeckerscheibe. Der Term 2n (1 - cos omega/2) wandelt den ebenen Winkel omega in den zugehörigen Raumwinkel um. Tatsächlich ist die korrigierte Formel überraschend exakt, nach der Berechnung des Raumwinkels bleiben keine trigonometrischen Terme übrig.
Anmerkung: Ich habe die Winkelbezeichnungen in meiner Ausarbeitung leicht verändert, Phi entspricht Theta_E und Theta entspricht Theta_R.
Nachtrag: Und noch eine kleine Illustration:
Zuletzt geändert von CodingCat am 02.11.2011, 17:36, insgesamt 6-mal geändert.
alphanew.net (last updated 2011-07-02) | auf Twitter | Source Code: breeze 2 | lean C++ library | D3D Effects Lite
-
Alexander Kornrumpf
- Moderator
- Beiträge: 2191
- Registriert: 25.02.2009, 13:37
Re: Anti-Jammer-Thread
Der ausgewählte Dateianhang existiert nicht mehr.
- CodingCat
- Establishment
- Beiträge: 1857
- Registriert: 02.03.2009, 21:25
- Wohnort: Student @ KIT
- Kontaktdaten:
Re: Anti-Jammer-Thread
Ja, ich wollte die Datei gestern noch gegen eine aktualisierte Fassung austauschen, leider hat sich dann mein Internet für einige Stunden verabschiedet.
Dafür konnte ich über Nacht nochmal ausgiebig darüber nachdenken, und zu dem Schluss kommen, dass die sehr groben Näherungsschritte von gestern der Genialität der Formel absolut nicht gerecht wurden. Tatsächlich lässt sich durch geschicktes Aufteilen des Tangens in Sinus und Cosinus die vermutete Ausgangsformel exakt in die korrigierte Endformel des Artikels überführen. Der letzte Post ist entsprechend korrigiert.
Dafür konnte ich über Nacht nochmal ausgiebig darüber nachdenken, und zu dem Schluss kommen, dass die sehr groben Näherungsschritte von gestern der Genialität der Formel absolut nicht gerecht wurden. Tatsächlich lässt sich durch geschicktes Aufteilen des Tangens in Sinus und Cosinus die vermutete Ausgangsformel exakt in die korrigierte Endformel des Artikels überführen. Der letzte Post ist entsprechend korrigiert.
alphanew.net (last updated 2011-07-02) | auf Twitter | Source Code: breeze 2 | lean C++ library | D3D Effects Lite
- CodingCat
- Establishment
- Beiträge: 1857
- Registriert: 02.03.2009, 21:25
- Wohnort: Student @ KIT
- Kontaktdaten:
Re: Anti-Jammer-Thread
So, nun kann man sich auch etwas darunter vorstellen. ;)
alphanew.net (last updated 2011-07-02) | auf Twitter | Source Code: breeze 2 | lean C++ library | D3D Effects Lite
- Schrompf
- Moderator
- Beiträge: 5330
- Registriert: 25.02.2009, 23:44
- Benutzertext: Lernt nur selten dazu
- Echter Name: Thomas
- Wohnort: Dresden
- Kontaktdaten:
Re: Anti-Jammer-Thread
Hey, mit Illustration hab sogar ich das begriffen. Und ich bin einer von denen, die normalerweise fertige Formeln ergoogeln und dann Vorzeichen drehen, bis es gut aussieht. Danke für die Veranschaulichung!
Früher mal Dreamworlds. Früher mal Open Asset Import Library. Heutzutage nur noch so rumwursteln.
- CodingCat
- Establishment
- Beiträge: 1857
- Registriert: 02.03.2009, 21:25
- Wohnort: Student @ KIT
- Kontaktdaten:
Re: Anti-Jammer-Thread
Es ist überraschend, was man manchmal für Tomaten auf den Augen hat, nur weil man am Anfang mal den Ansatz über einen bestimmten Winkel gewählt hatte. Die Berechnung über den Tangens ist natürlich absolut unnötig, mit dem Bild springt einem der Cosinus förmlich ins Gesicht. Herleitung ist entsprechend angepasst.
alphanew.net (last updated 2011-07-02) | auf Twitter | Source Code: breeze 2 | lean C++ library | D3D Effects Lite
-
glassbear
- Establishment
- Beiträge: 324
- Registriert: 08.04.2003, 18:09
- Alter Benutzername: Enrico_
- Echter Name: Enrico
- Wohnort: San Diego
- Kontaktdaten:
Re: Anti-Jammer-Thread
Yay, der Doom3-Code ist auf dem Weg. Braucht nur noch an den Anwälten vorbei =)
Ein Hoch auf uns Männer... Auf die Frau, die uns HAT ( oder hat, und nicht weiß, dass sie uns hat ) ...auf die Idiotinnen ... besser gesagt VOLLPFOSTINNEN ... die uns hatten und uns verloren haben ... und auf die GLÜCKLICHEN, die das Vergnügen & Glück haben werden uns kennenzulernen!
Re: Anti-Jammer-Thread
Es kribbelt im Bauch und ich habe übelst gute Laune... woran das bloß liegt??? :D
Vielleicht liegs auch an Technobase...
Vielleicht liegs auch an Technobase...
Re: Anti-Jammer-Thread
Da hat der nette Adam Rak doch heute tatsächlich in seinen Compute-Treiber in neues Example eingebaut, das zwei Zahlen nimmt, diese auf der GPU addiert und das Ergebnis ausspuckt. Das war für mich gleich mal die Motivation, wirklich was mit dem Compute-Treiber anzufangen. Also gleich mal rangesetzt und Skalarprodukt implementiert, bisschen mit Int vs Float rumgspielt und so.
Morgen früh bau ich dann noch eine Matrixmultiplikation draus und kann die dann benchmarken.
Morgen früh bau ich dann noch eine Matrixmultiplikation draus und kann die dann benchmarken.
https://memcp.org/ <-- coole MySQL-kompatible In-Memory-Datenbank
https://launix.de <-- kompetente Firma
In allen Posts ist das imo und das afaik inbegriffen.
https://launix.de <-- kompetente Firma
In allen Posts ist das imo und das afaik inbegriffen.
Re: Anti-Jammer-Thread
Ich glaube, für wenig Daten ist der Overhead für sowas zu hoch... da es ja gewisse Zeit dauert, die Daten auf die GPU zu schreiben und wieder zurück zu lesen... aber wenn man viele Tausende gleichzeitig berechnen muss, lohnt es sich bestimmt.
-
glassbear
- Establishment
- Beiträge: 324
- Registriert: 08.04.2003, 18:09
- Alter Benutzername: Enrico_
- Echter Name: Enrico
- Wohnort: San Diego
- Kontaktdaten:
Re: Anti-Jammer-Thread
Yay, Mittwoch 10:25 geht mein Flug von Frankfurt nach Los Angeles fuer Bewerbungsgespraeche =) =) =)
Ein Hoch auf uns Männer... Auf die Frau, die uns HAT ( oder hat, und nicht weiß, dass sie uns hat ) ...auf die Idiotinnen ... besser gesagt VOLLPFOSTINNEN ... die uns hatten und uns verloren haben ... und auf die GLÜCKLICHEN, die das Vergnügen & Glück haben werden uns kennenzulernen!
- CodingCat
- Establishment
- Beiträge: 1857
- Registriert: 02.03.2009, 21:25
- Wohnort: Student @ KIT
- Kontaktdaten:
Re: Anti-Jammer-Thread
Glückwunsch. Auch wenn wir jetzt natürlich alle furchtbar gerne wüssten, wos hingeht. :mrgreen:
Viel Erfolg!
Viel Erfolg!
alphanew.net (last updated 2011-07-02) | auf Twitter | Source Code: breeze 2 | lean C++ library | D3D Effects Lite
- Aramis
- Moderator
- Beiträge: 1458
- Registriert: 25.02.2009, 19:50
- Echter Name: Alexander Gessler
- Wohnort: 2016
- Kontaktdaten:
Re: Anti-Jammer-Thread
Von mir auch Glueckwunsch und viel Erfolg, Enrico :-)
-
glassbear
- Establishment
- Beiträge: 324
- Registriert: 08.04.2003, 18:09
- Alter Benutzername: Enrico_
- Echter Name: Enrico
- Wohnort: San Diego
- Kontaktdaten:
Re: Anti-Jammer-Thread
Danke :)CodingCat hat geschrieben:Glückwunsch. Auch wenn wir jetzt natürlich alle furchtbar gerne wüssten, wos hingeht. :mrgreen:
Viel Erfolg!
Broadcom in Irvine :)
Qualcomm in San Diego :)
Ein Hoch auf uns Männer... Auf die Frau, die uns HAT ( oder hat, und nicht weiß, dass sie uns hat ) ...auf die Idiotinnen ... besser gesagt VOLLPFOSTINNEN ... die uns hatten und uns verloren haben ... und auf die GLÜCKLICHEN, die das Vergnügen & Glück haben werden uns kennenzulernen!
- Krishty
- Establishment
- Beiträge: 8405
- Registriert: 26.02.2009, 11:18
- Benutzertext: state is the enemy
- Kontaktdaten:
Re: Anti-Jammer-Thread
Mandarinen
<3
Fast so gut wie Pfirsiche aus der Dose
<3
Fast so gut wie Pfirsiche aus der Dose
-
Alexander Kornrumpf
- Moderator
- Beiträge: 2191
- Registriert: 25.02.2009, 13:37
Re: Anti-Jammer-Thread
Beides eklig.
- Krishty
- Establishment
- Beiträge: 8405
- Registriert: 26.02.2009, 11:18
- Benutzertext: state is the enemy
- Kontaktdaten:
Re: Anti-Jammer-Thread
Dann riech erstmal an meinem Daumennagel … der wird bis März vom Schälen gelb bleiben
- dot
- Establishment
- Beiträge: 1752
- Registriert: 06.03.2004, 18:10
- Echter Name: Michael Kenzel
- Kontaktdaten:
Re: Anti-Jammer-Thread
kenn ich :lol:Krishty hat geschrieben:Dann riech erstmal an meinem Daumennagel … der wird bis März vom Schälen gelb bleiben
Re: Anti-Jammer-Thread
Ja, kriegt man fast Vitaminschock!Alexander Kornrumpf hat geschrieben:Beides eklig.
Lieber Chips und Cola.
https://memcp.org/ <-- coole MySQL-kompatible In-Memory-Datenbank
https://launix.de <-- kompetente Firma
In allen Posts ist das imo und das afaik inbegriffen.
https://launix.de <-- kompetente Firma
In allen Posts ist das imo und das afaik inbegriffen.
-
glassbear
- Establishment
- Beiträge: 324
- Registriert: 08.04.2003, 18:09
- Alter Benutzername: Enrico_
- Echter Name: Enrico
- Wohnort: San Diego
- Kontaktdaten:
Re: Anti-Jammer-Thread
Ich bin jetzt 19h wach, hatte 11h Flug, 2h Fahrt mit dem Auto zum Hotel gerade und nun eine (nichtabsagbare) Einladung zum Business Diner mit dem Team, wo ich mich beworben habe. yay :lol: :?
Zum Glueck weiss wenigstens mein Handy, wie spaet es ist. Echtes "Smart"Phone halt...
Zum Glueck weiss wenigstens mein Handy, wie spaet es ist. Echtes "Smart"Phone halt...
Ein Hoch auf uns Männer... Auf die Frau, die uns HAT ( oder hat, und nicht weiß, dass sie uns hat ) ...auf die Idiotinnen ... besser gesagt VOLLPFOSTINNEN ... die uns hatten und uns verloren haben ... und auf die GLÜCKLICHEN, die das Vergnügen & Glück haben werden uns kennenzulernen!
Re: Anti-Jammer-Thread
Krishty hat geschrieben:Dann riech erstmal an meinem Daumennagel … der wird bis März vom Schälen gelb bleiben
We can do it – we have the technology.
- Krishty
- Establishment
- Beiträge: 8405
- Registriert: 26.02.2009, 11:18
- Benutzertext: state is the enemy
- Kontaktdaten:
Re: Anti-Jammer-Thread
Aber das Vorspiel ist doch das Schönste!
- Krishty
- Establishment
- Beiträge: 8405
- Registriert: 26.02.2009, 11:18
- Benutzertext: state is the enemy
- Kontaktdaten:
Re: Anti-Jammer-Thread
Mit dem CFF Explorer beliebige Exes von Windows GUI auf Windows Console umstellen und den Konsoleninhalt betrachten
Mein Favorit ist gtaIII:
Mein Favorit ist gtaIII:
Start loading mrwongs
Finish loading mrwongs
Start loading bus
Finish loading bus
Trying to damage component 16 of diablos
Trying to damage component 12 of diablos
Start loading infernus
Finish loading infernus
Start loading stinger
Finish loading stinger
Start loading yakuza
Finish loading yakuza
THIS SHOULDN@T HAPPEN TOO OFTEN
THIS SHOULDN@T HAPPEN TOO OFTEN
THIS SHOULDN@T HAPPEN TOO OFTEN
Start loading predator
Finish loading predator
Start loading reefer
Finish loading reefer
CREATED EMERGENCY VEHICLE
CREATED EMERGENCY VEHICLE
CREATED EMERGENCY VEHICLE
Trying to damage component 16 of yardie
Trying to damage component 12 of yardie
THIS SHOULDN@T HAPPEN TOO OFTEN
LOAD frontend
LOAD sprite
Re: Anti-Jammer-Thread
http://http.developer.nvidia.com/ParallelNsight/2.1/ReleaseNotes/HTML/Parallel_Nsight_Release_Notes.htm hat geschrieben: New in the 2.1 Release
- The Frame Timings page has been added to illustrate the GPU cost for a given draw call.
- Shaders can now be dynamically edited.
Wenn das stimmt, fress' ich 'nen Regenbogen.http://parallelnsight.nvidia.com/content/parallel-nsight-early-access hat geschrieben:
- New Frame Timings page allows DirectX developers to get to the exact measured DrawCall timings in isolation or in concurrent execution of the GPU.
- Dynamic Shader Editing within the Visual Studio code editor to allow the developer to override shaders while the application is still running and debug the edited shader with Nsight’s powerful Pixel History feature.
- Aramis
- Moderator
- Beiträge: 1458
- Registriert: 25.02.2009, 19:50
- Echter Name: Alexander Gessler
- Wohnort: 2016
- Kontaktdaten:
Re: Anti-Jammer-Thread
Ich liebe das wolkenverhangene Bergpanorama von Skyrim :-) Wenn ich jetzt nur ganz viel Zeit haette und dieses Spiel bitte nicht wie Oblivion nach Beenden von 1,2 Questreihen so langweilig werden moege wie ein Staubsauger von innen.
-
kaiserludi
- Establishment
- Beiträge: 467
- Registriert: 18.04.2002, 15:31
Re: Anti-Jammer-Thread
Vorhin hinter der Kasse das hätte Krishty sein können:Krishty hat geschrieben:Mandarinen
<3
Fast so gut wie Pfirsiche aus der Dose
Der Einkauf des Herren hinter mir bestand aus einem Pfund Kaffee und 6 kg Mandarinen. Sonst nichts.
"Mir ist auch klar, dass der Tag, an dem ZFX und Developia zusammengehen werden der selbe Tag sein wird, an dem DirectGL rauskommt."
DirectGL, endlich ist es da :)
"According to the C++ standard, it's "undefined". That's a technical term that means, in theory, anything can happen: the program can crash, or keep running but generate garbage results, or send Bjarne Stroustrup an e-mail saying how ugly you are and how funny your mother dresses you." :shock:[/size]
DirectGL, endlich ist es da :)
"According to the C++ standard, it's "undefined". That's a technical term that means, in theory, anything can happen: the program can crash, or keep running but generate garbage results, or send Bjarne Stroustrup an e-mail saying how ugly you are and how funny your mother dresses you." :shock:[/size]
- Krishty
- Establishment
- Beiträge: 8405
- Registriert: 26.02.2009, 11:18
- Benutzertext: state is the enemy
- Kontaktdaten:
Re: Anti-Jammer-Thread
Ich trinke keinen Kaffee; der macht schnell abhängig und beeinträchtigt dabei stark die Kognition. Und ich binde mich nur sehr ungern, auch an Drogen; und verpeilt bin ich schon genug.
Re: Anti-Jammer-Thread
Wenn ich demnächst beim Kochen wieder versage, habe ich wenigstens eine Ausrede: Pancake flipping is hard – NP hard.